등비수열
아래 수열은 등비수열이다.
$$1, 2, 4, 8…$$
앞 수에 항상 등비인 2를 곱한 것이 다음에 나타나기 때문이다. (다음 수가 이전 수에 2도 곱하고 3도 곱해서 나타나면 등비수열이라고 하지 않는다.)
일반화해서 표현해보자.
윗 등비수열을 n번째 항까지 일반화해서 나열하면 아래와 같다.
$$a_1, a_2, a_3, …, a_n$$
여기서 초기항 $a_1$의 값을 $a$라 하고, 등비를 $r$이라고 하면,
윗 수열은 아래와 같이 나타난다.
$$a, ar^{1}, ar^{2}, …, ar^{(n-1)}$$
윗 수열의 n번째 항은 아래와 같이 쓰게되며 이는 일반적인 수열의 n번째 항을 나타낸다라고 한다.
$$a_n = a r^{(n-1)}$$
등비급수
그러면 윗 등비수열의 각 항을 모두 더하면 얼마인가?
등차수열의 공식을 유도하는 방법과 비슷하다. 여기서는 공비값을 한 번 곱해준 후 빼준다. (등차수열에서는 동차 항을 더해준 후 2로 나누고 갯수만큼 곱해주면 된다.)
$$S = a + ar + ar^2 + ar^3 … + ar^{(n-1)} — (1)$$
$$r(S) = ar + ar^2 + ar^3 + ar^4 … + ar^{n} — (2)$$
식 (1)에서 식 (2)를 빼면,
$$(1-r)S = a – ar^n $$
$$S = a(1-r^n ) / (1 -r) = a (r^n -1) / (r-1) — (3)$$
단, r=1이 아니어야 한다. 만일 r=1이면 해는 $S=a n$이 된다.
여기서 식(3)을 잠시 보면 r이 1보다 큰 수인 경우에는 우측식을 사용, 보다 작은 수인 경우에는 좌측식을 사용하는 것이 편하게 보인다. 물론 아무거나 써도 상관없다. 여기서 중요한 것은 등비수열의 발산과 수렴이다.
$r$이 $-1<r<1$인 경우 윗 식은 수렴한다. 왜냐하면 식 (1)과 식 (3)에서 보듯이 $|r|$이 $-1$과 $1$ 사이면 $r^{\infty}$가 $0$으로 가기 때문이다. (단, $r=0$인 경우에는 등비수열이 아니므로 생각치 않는다.)
그럼 어디에 수렴하는 것일까? 수렴한다면, 등비수열의 합은 얼마일까? 라는 문제가 궁금해진다. 그런데 우리는 그 수렴하는 값을 계산하는 공식을 위에서 구해 놓았다. 즉, 합이 무한대가 아닌 특정값을 가진다는 것은 그 특정값에 수렴된다는 것이다.
아랫 등비수열의 합을 계산해보자. 초기항이 $1$ 부터 시작하지 않는다.
$$S={{1} \over {4}} + {{1} \over {4^2}} + {{1} \over {4^3}}…$$
보았더니, 윗 등비수열의 합은 초기항이 $1/4$이고 공비가 $1/4$인 등비수열을 모두 더한것이다. 그럼 어딘가에 수렴하겠구나라고 생각되는가? 딱 보니 $1/4$ 보다 큰 값인데… 공식에 넣어볼까?
$$S = a \frac {(1-r^n )}{(1 -r)}$$
여기서 n이 무한대이므로,
$$S = \frac {a }{(1 -r)}$$
그러므로, $$S =\frac{1/4}{(1-1/4)}$$
$$=\frac{1/4}{3/4} = 1/3$$
답은 잘 구했다. 단 위와 같이 풀면 합은 공식을 잘 적용해서 구했으나, 어디에 수렴하는지에 대한 통찰은 아직까지 하지 못하고 있다고 본다. 윗 내용은 사과를 2의 배수배가 아닌 사람들에게 공평하게 나누어주기 위한 방법을 찾는 내용과 동일하다. (잘 이해가 안되면 아래 깨봉수학 유투브의 내용을 무조건 학습해야한다.)
사과를 3명에게 공평히 분배하려면 어떤 방법을 써야 하는가?
사과를 4조각 낸 후 하나씩 준다. 이후 나머지를 다시 4조각 낸 후 하나씩 준다. 이를 무한 반복하면 3명에게 공평히 분배되다는 원리를 사용한다.

깨봉수학을 보고 왔으면 이제 수렴한다는 의미가 이해 되는가? 아랫 문제도 풀어보자.
$\frac{1}{5} + \frac{1}{5^2} + \frac{1}{5^3} … $
바로 1/4에 수렴한다라고 이제는 말할 수 있는가?
즉, 나누고자 하는 수(A)보다 하나 더 큰 수(A+1)로 나눈 후, 나머지 조각을 같은 수(A+1)로 나누어서 계속 더해주면 원하는 나누고자 하는 값(A)에 도달한다는 원리이다. 그리고 계속 같은 수로 나누므로 등비수열이 되고 이런 등비를 모두 더하면 특정한 값에 수렴하는 것이 이해될 것이다.
그러면 등비수열만 수렴할까? 꼭 위와 같은 방법으로만 수렴할까? 다른 방법으로 수렴토록할 수 있을까? 라는 궁금증이 생긴다.
이러한 궁금증이 아마도 “공비를 가지고 수렴하게 하는 방법 말고 다른 방법”을 찾게 만들었을 것 같다. 그리고 그 대표적인 방법이 이제부터 설명할 테일러급수와 푸리에급수이다.
테일러급수
테일러는 수학자의 이름이다. 그렇다면 급수는? 급수는 본 포스트에서 계속해서 다루고 있던 수열의 합을 말한다. 등차수열 또는 등비수열의 합을 급수라 한다. 이러한 급수는 수열의 끝이 있어서 유한한 값을 가지는 유한급수, 수열의 끝이 없는 무한급수로 나눌 수 있다. 여기서 무한급수는 수렴값을 가지거나 발산할 수 있다.
그리고 보통 등차수열의 합은 무한급수일테고 등비수열은 비(배수)의 크기에 따라 유한, 무한급수로 나타날 것이다.
즉, 급수는 우리가 지금까지 해왔던 내용이다. 수열을 더한 것이라고 보면 된다. 등비수열의 합이 수렴하는 값이 있으면 그 값을 구하는 공식을 아래에 다시 써 보겠다.
\[1+\frac{1}{r} + \frac{1}{r^2} +… + \frac{1}{r^n} +… = 1+( \frac{1}{r})^1 + ( \frac{1}{r})^2 + … + ( \frac{1}{r})^n + … = \frac{1}{1-1/r}\]
그리고, 윗 식에서 공비 $1/r$을 $x$로 놓으면, 아래처럼 쓸 수 있다.
\[1+x + x^2 +… + x^n = \frac{1}{1-x} = \sum_{n=0}^{\infty} x^n \]
단, |x|<1이어야 한다.
윗 식이 테일러급수의 한 예이다.
아마도 테일러는 윗 공비급수가 어떤 값에 수렴한다는 것을 보고 테일러급수를 생각해 놓은 것 같다. 즉, 어떤 작아지는 값들을 계속해서 모으면 작아지는 값들은 0에 수렴하고 마찬가지로 이러한 급수들은 어떤 점에 수렴한다고 생각했을 것이다.
이것을 테일러 식으로 다시 말하면, “어떤 함수의 특정 범위의 한 점으로 수렴하는 값은 이 함수를 다항식 형태로 만들었을 때(급수)의 값(근사값)이 되며, 이러한 근사값은 특정한 방식으로 작아지는 조각들의 합이다”라는 생각이다.
그렇다면 어떤 특정한 방식으로 작아질까? 꼭 공비와 같이 일정한 비율로 작아질까? 사과 나누기는 특수한 나누기 이므로 다른 형태의 나누기는 다른 형태로 나타날 것 같다라는 생각이 든다. 그리고 “이러한 것들을 일반화할 수 있지 않을까?”라는 꿈도 든다. 아래에 그 일반화하는 방법 즉 테일러급수에 대한 설명을 본격적으로 시작한다.
함수 $f(x)$와 같은 값을 가지는 다항식 $p(x)$가 있다고 가정한다. 그리고 다항식 $p(x)$의 항은 무한하다라고 가정한다.
\[f(x) = p(x)\]
여기서 다항식 $p(x)=a_0 + a_1 x + a_2 x^2 + … + a_n x^n$으로 놓을 수 있다.
위에서 보듯이 다항식은 무한 미분가능하다. 그러므로 함수 $f(x)$도 무한 미분가능하여야 한다.
먼저 $a_0$의 값을 구한다.
$a_0 = f(0) = p(0)$이다. 왜냐면 다항식 $p(x)$에 $x=0$을 대입하면 $a_0$만 나오기 때문이다.
그리고 각 항의 계수(테일러 계수)의 값을 구해보자.
$a_1$의 값을 구하려면 다항식 $p(x)$를 한 번 미분하고 $x=0$을 대입하면 된다.
$f’ (x) = a_1 + 2 a_2 x + 3 a_3 x^2 + … $
윗식에 x=0을 대입하면
$f’ (0) = a_1$
마찬가지로, $a_2$의 값을 구하려면, 2계 미분한 후 $x=0$을 대입해주면 2계 미분방정식이 나타난다.
$f” (x) = 2 a_2 + 3 \cdot 2 x + 4 \cdot 3 x2^2 + …$
$f” (0) = 2 a_2$
계속해서 반복하면,
$f^{n} (x) = n!a_n$
$f^{n} (0) = n!a_n$
의 형태가 나타난다.
그러면, 윗식을 각 항의 계수값을 좌변에 놓고 우변을 미분형태로 나타내면,
$a_1 = f’ (0)$
$a_2 = \frac{1}{(2!)} f^{”} (0)$
…
$a_n=\frac{1}{(n!)} f^{n} (0)$
와 같이 나타낼 수 있다.
그러므로 테일러급수는
\[ f(x) = p(x) = \sum_{n=0}^{\infty} f^{(n)}(0) x^n \]
로 나타낼 수 있다.
| 참조1. 위와 같은 형태의 테일러급수를 매클로린급수라고 하며 테일러급수에서 파생한 급수라 말한다. 왜냐하면, 테일러급수는 증명을 통해서 아래 식과 같이 정의되었기 때문이다. \[ f(x) = p(x) = \sum_{n=0}^{\infty} f^{(n)}(a) (x-a)^n \] 단, 함수 $f(x)$는 $x=a$ 근처에서 무한미분되어야 하며 x는 a의 근처에 위치하여야 한다는 조건이다. 이것은 뉴튼의 보간법을 기초해서 테일러가 위와 같이 유도한 것이라 한다. 아마도 테일러는 $x=a$로 수렴하는 급수식을 생각했을 것이다. 그리고 $a$가 0으로 수렴하게 한다면, 함수 $f(x)$의 값을 구하겠지라고 생각한 것 같다. 뉴튼의 보간법에 대해서 잘 몰라서 윗 처럼 생각만 했다. |
그러므로 매클로린급수는 테일러급수에서 $a$에 0을 대입한 것이라 할 수 있다.
이제 $\frac{1}{(1-x)}$를 다항식으로 표현해보자. 우리는 답을 알지만 테일러급수(매클로린급수)를 배웠으므로 써먹어 보자.
(위에서 $\frac{1}{(1-x)} $를 다항식으로 놓는다는 의미는 함수$f(x)= \frac{1}{(1-x)} $로 생각하자는 의미이다. 즉, 어떤 함수가 수렴하는 값은, 공비인 x와 함수의 계수에 따라 변화한다고 가정했다.)
테일러급수는 다항식의 계수를 찾는 문제이다. 그러므로 다항식 $p(x)$의 계수를 아래와 같이 찾아보자.
$a_0 = f(0)$
$a_1 = f'(0) = 1$ <- $f'(x)=1/(1-x)^2$
$a_2 = \frac{1}{(2!)} f”(0) = 1$ <-$f”(x)=\frac{1}{2!}\frac{2}{(1-x)^3}$
…
$a_n = \frac{1}{(n!)} f^{(n)} = 1$ <- $\frac{1}{n!} \frac{n!}{(1-x)^{(n+1)}}$
그러므로,
\[\frac{1}{1-x} = 1+ 1/x + 1/x^2 +1/x^3 + … + 1/x^n\]
단, 여기서, $|x|<1$ 이며 $x \neq 0$ 이라는 조건이면 윗 식은 성립한다.
그러면 테일러급수는 이렇케도 말할 수 있다. 테일러급수는 각 항의 계수가 그 함수의 $\frac{f^{(n)} (0)}{n!}$의 n차항만큼 줄어드는 계수를 가지는 멱급수이다.
| 참조2. 멱급수라는 것은 다항식의 계수가 특정한 패턴을 가지는 급수이다. 등비수열에서는 특정한 패턴이 ‘1’이지만, 테일러급수에서는 $\frac{f^{(n)}(0)}{n!}$로 보면된다. (이러한 패턴은 등차일 경우도 있는데 멱급수를 설명할 때 이러한 등차계수를 가지는 등비수열도 멱급수라고 설명하고 있다.) |
정말 신기하다. 사과를 조각내어서 나누어 주는 공식과 그 다항식이 테일러급수와 동일함이 놀랍다. 이 말은, 테일러식 나누기의 특수한 나누기 방법이 사과를 1/N로 나누어 주기 위한 방법과 동일함을 의미한다.
이 테일러급수는 등비급수의 합과 비슷한 형태를 가지고 있으나 일반화해서 보면, 각 항의 계수는 함수의 n차 미분형태에 비례하며, 차수의 팩토리얼로 나눈 값으로 계속해서 줄어드는 형태이다.

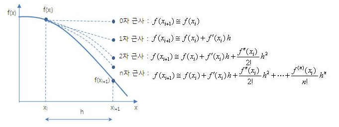
윗 그림은 정보통신기술용어해설 사이트에서 테일러급수의 근사값을 설명하기 위한 그림이다. 테일러 전개를 이용해서 n차 근사까지 나타낸 것인데 여기서 눈여겨 볼 것은, 0부터 n차까지의 감소폭이다. 0차와 1차 근사값의 차이는 조금씩 줄어듬을 볼 수 있다. 그리고 n차에 가면 그 증가가 0에 수렴함을 볼 수 있다.
또한, 차수가 늘어남에 따라 함수 $f(x)$ 값에 근접하고 있는 것을 알 수 있다. 이러한 각 근사값과의 차이를 모두 더하면 수렴하는 $f(x_{(i+1)})$에 다다를 것이고 이것이 함수 $f(x)$ 임을 설명하고 있다.
이제는 초월함수의 테일러급수표현에 대해서 알아보자. 초월함수라는 것은 대수적으로 그 값을 구할 수 없는 함수이다. 대수적이라는 말은 사칙연산과 거듭제곱의 형태로 표현할 수 없는 함수를 말한다. 대표적으로 로그함수, 삼각함수 및 지수함수 등이 있다.
우리는 가장 어려운 분수함수에 대해서 테일러계수를 구해 보았다. 그러므로 아래는 눈으로 흘려 보아도 왜 이런 형태를 가지는 지 쉽게 유추할 수 있을 것이다.


$cos(x)$는 우(配)함수이고 $sin(x)$는 기(奇)함수라는 것을 알면 쉽게 기억할 수 있다.
즉, $cos(x)$는 다항식의 짝수항 만, $sin(x)$는 홀수항 만 써 놓은 후 삼각함수가 +와 -로 순환하는 것을 그대로 써 놓으면 된다. 물론 차수의 팩토리얼로 나누어주는 것은 기억해야 된다.
$cos(x)$를 홀수번 미분하면 $sin(x)$ 항을 가지게 되며 $x=0$을 대입하면 항이 사라지기 때문이다.
$sin(x)$를 짝수번 미분하면 $sin(x)$ 항을 가지게 되며 $x=0$을 대입하면 항이 사라지기 때문이다.
또한, $e^{i x}$의 테일러급수를 알아보자.
함수 $f(x)=e^{ix}$이면 오일러공식을 적용하면 된다.
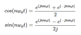
$$e^{i x}=cos(x) + i sin(x)$$
그러므로, 함수 $f(x)$의 테일러급수는 실수부의 테일러급수와 허수부의 테일러급수를 위에서 구한 $cos(x)$와 $sin(x)$의 테일러급수를 그대로 가져와 쓰면 된다.

잠시만!
지금 무슨 일이 일어났는지 알고 있는가? $cos(x)$와 $sin(x)$가 사라졌다. “Witness Me!”
어마무시한 오일러공식
$$e^{i x}=cos(x) + i sin(x)$$
삼각함수의 탄젠트 정리를 이용하면 $cos^2(x) + sin^2(x)=1$이다. $cos^2(x)$를 $X$로 + $sin^2(x)$를 $Y$로 놓으면 이는 원의 방정식이된다. $X^2 + Y^2 =1$. 즉, $e^{(jx)}$는 반지름이 1인 원을 만든다.
만일 $x$를 시간$t$로 본다면, 이는 시간의 변화에 따라 원주상에 실수측은 $cos(t)$로 허수측은 $sin(t)$로 나타난다는 의미이다.
푸리에급수
드디어 푸리에급수이다.
푸리에가 만든 급수이다. 지금까지 사과를 가지고 설명을 시작했듯이 이것도 사과를 가지고 설명을 시작해 보겠다.
푸리에급수는 사과 그리기이다.
사과를 그리면, 처음에 동그라미를 그린다. 그리고 꼭지가 있는 부분을 조금 들어가게 한다. 다음에 꼭지를 만들어준다. 사과의 외형은 완벽한 구의 형태가 아니므로 들어간 부분은 줄이고 나온 부분을 그려준다. 마지막 단계를 미세조정이라 하겠다. 그리고 이를 모두 합치면 사과를 볼 수 있을 것이다.
즉, 사과그림=동그라미+꼭지자리+꼭지+미세조정이다. (어떻케 보면 사과 그리기는 사과의 특징을 커다란 것부터 꺼낸 후 작은 것들을 덧붙이는 과정처럼 보인다.)
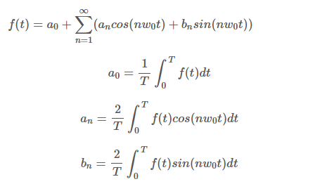
푸리에는 이것을 시간(t)에 따라서 주기$(T)$를 가지고 변화하는 함수$f(t)$에 적용했다.
사과 그리기 처럼, 처음에는 함수 $f(t)$의 가장 큰 형태와 비슷한 형태를 그린다. 그리고 다음에는 처음 그린 형태와 비교해서 부족한 부분을 채우거나 깍을 수 있는 형태를 그린다. 그리고 이러한 것들을 무한 반복한다.
단, 사과를 캔버스 위의 특정 점을 중심으로 그렸듯이 그려야 되는 형태는 함수 $f(t)$의 주기$(T)$의 정수배로 구성되어야 한다는 조건을 달고 그린다. (만일 정수배가 아닌 형태로 그린다면 그림은 시간이 진행함에 따라 뭉게질 것이다.)




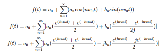
이것을 수학적으로 표현하면 아래와 같다. 삼각함수 한 종류만 사용하지 않고 두가지 종류를 사용해서 표현했는데 이런 사람들은 머리에 어떤 이미지를 가지고 있어서 이런 것들을 생각해 냈을까 궁금하다. 위상을 바꾸지 않고 두가지 삼각함수의 합(차)를 이용해서 원하는 그림을 그릴 수 있다는 생각은 어떻케 나오는 것일까?
\[f(t)=\sum_{n=0}^{\infty} (a_n cos (n w_0 t) + b_n sin( n w_0 t )) \quad (w_0=2 \pi f_0 ) — (4)\]
윗 식을 조금 변형하면 $n=0$에서 출발하지 않고 $n=1$에서 출발토록 하면,
\[f(t)=a_0 + \sum_{n=1}^{\infty} (a_n cos (n w_0 t) + b_n sin( n w_0 t )) \quad (w_0=2 \pi f_0 ) — (5)\]
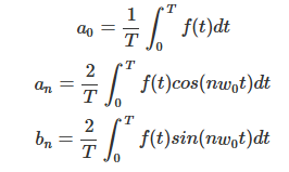
윗 식에서 $a_0$은 사과가 캔버스 상의 특정 위치를 중심으로 그려진다고 볼 때, 이 함수가 특정가 가지는 평균 값을 나타낸다고 볼 수 있다. 또한 초기항이 $a_0$이고 $b_0$가 아닌 이유는 식 (4)에 $n=0$을 대입하면 이해될 것이다.
테일러급수는 각 항의 계수(테일러 계수)를 구했다. 여기서도 마찬가지이다. $a_0$와 $cos( n w_0 t)$과 $sin (n w_0 t)$의 n 차항(주파수의 정수 배)에서의 계수를 구하라는 이야기다. 여기서는 푸리에급수이므로 계수는 푸리에 계수라고 하겠다.
$a_0$부터 구해보자. $a_0$는 일견 $t=0$을 넣으면 될 것처럼 보인다. $f(0) = a_0$? 틀렸다. 왜?
시그마로 감싸진 $n=1$ 번 항 부터 코사인 값들이 계속해서 1이라 $a_1$, $a_2$, …, $a_n$ 항들이 나타나기 때문이다.
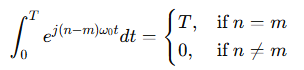
그럼 어떻케? 주기함수를 주기만큼 적분하면 0이되는 원리를 이용해서 정적분을 양변에 해주면 된다.
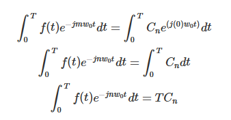
\[\int_{0}^{T}f(t)dt = \int_{0}^{T}a_0dt + \int_{0}^{T} \sum_{n=1}^{\infty} (a_n cos (n w_0 t) + b_n sin( n w_0 t )) dt\]
이러면
$$a_0= \frac{1}{T} \int_{0}^{T}f(t)dt$$가 된다.
다음에 $a_1$을 구해보자. 이것은 함수의 내적(Inner Product) 성질을 이용한다. 아랫처럼 $cos(1 w_0 t)$를 곱해준 후 정적분해준다.
\[ \int_{0}^{T}f(t) cos(1 w_0 t)dt = \int_{0}^{T} a_0 cos (1 w_0 t) dt + \sum_{n=1}^{\infty} \int_{0}^{T}[(a_n cos (n w_0 t) + b_n sin( n w_0 t ))] cos (1 w_0 t) dt \]
\[ \int_{0}^{T}f(t) cos(1 w_0 t)dt =0+\sum_{n=1}^{\infty} \int_{0}^{T}a_n cos (n w_0 t) cos (1 w_0 t) dt + \sum_{n=1}^{\infty}\int_{0}^{T}b_n sin( n w_0 t )) cos (1 w_0 t) dt \]
\[ \int_{0}^{T}f(t) cos(1 w_0 t)dt =0+ \sum_{n=1}^{\infty} \int_{0}^{T} (a_n cos (n w_0 t) cos (1 w_0 t) dt + 0 \]
위에서 $n=1$ 아닌 이보다 큰 값을 가지는 $cos(n w_0 t)$와 $cos(1 w_0 t)$와의 곱에 대한 정적분은 항상 0이다. 그러므로 윗 식은
\[\int_{0}^{T}f(t) cos(1 w_0 t)dt = a_1 \int_{0}^{T}cos (n w_0 t) cos (1 w_0 t) dt \]
여기서 삼각함수의 제곱공식을 이용하면,

\[\int_{0}^{T}f(t) cos(1 w_0 t)dt = \frac{a_1}{2}\int_{0}^{T}(1+cos (2w_0 t) dt\]
\[\int_{0}^{T}f(t) cos(1 w_0 t)dt = \frac{a_1}{2}T\]
그러므로 $$a_1= \frac {2}{T}\int_{0}^{T}f(t) cos(1 w_0 t)dt $$가 된다.
마찬가지로 $b_1$에 대해서 구하자면, 양 변에 $sin(1 w_0 t)$를 곱해준 후 한 주기만큼 정적분해준다. (한 번은 Cos로 내적을 구하고 다른 한 번은 Sin으로 내적을 구하고 있다. 먼가 냄새가 난다.)
윗 풀이과정을 반복하면 $$b_1= \frac {2}{T}\int_{0}^{T}f(t) sin(1 w_0 t)dt $$가 유도된다.
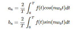
이상의 과정을 $a_2$와 $b_2$를 구하는데 반복하고 이를 $a_n$과 $b_n$으로 일반화해서 나타내면 아래와 같다.
\[ a_n=\frac {2}{T}\int_{0}^{T}f(t) cos(n w_0 t)dt\]
\[b_n=\frac {2}{T}\int_{0}^{T}f(t) sin(n w_0 t)dt\]
그러므로, 푸리에급수의 정의는 아래와 같다.


여기서, $a_0$, $a_n$ 및 $b_n$은 n- 고조파에서의 푸리에 계수라고 한다. (잠시 여기서 주목할 부분이 있다. 이 n-차 고조파의 계수를 보면 $Cos$ 항과 $Sin$ 항에 곱해진 형태를 가진다. 즉, $a_n$은 함수 $f(t)$와 $Cos(n w_0 t)$ 항과의 연관성(내적)을 $b_n$은 함수 $f(t)$와 $Sin(n w_0 t)$ 항과의 연관성(내적)을 알아보는 수식이라 할 수 있다.)
즉, 푸리에급수는 고조파의 계수(푸리에 계수)를 적분을 통해서 구한다.
그러면 여기서 푸리에급수를 다시 정리해보자.
푸리에급수는 주기함수를 주기함수가 가지는 주파수의 정수배를 가지는 고조파의 합(급수형태)로 표현할 수 있다. (여기서 고조파란 고주파가 아니다. 고조파는 기본파(주파수의 1배)와 2 이상의 정수배 주파수를 가지는 정현파를 말한다.)
즉, 고조파는 기본파 + 2차고조파 + 3차 고조파 + … + n차 고조파 + …
푸리에급수도 고조파의 차수가 커질수록 진폭이 줄어들며 0에 수렴해야 한다. 그런데 푸리에 계수식만을 놓고 볼때는 감소하는게 보이지는 않는다… 그러나 0에 수렴하지 않으면 말이 안되기 때문에 수렴은 해야 한다고 썼다. 푸리에 계수의 고차항의 내적이 줄어드는 지 아래의 그래프를 보고 확인하자.


윗 2개의 그림을 보면, 푸리에급수는 어떤 방식으로 그 값이 특정값에 수렴하는 것인지 이해되었을 것이다.
즉, 푸리에급수에서 고조파의 푸리에 계수는 원 함수와 그 고조파와의 내적연산(Inner Product)을 통해서 구하는데 이 내적값을 0에 수렴하게 된다.
여기서 잠시 테일러급수의 특징을 언급하겠다. 푸리에급수의 성질과 비교해 보자.
테일러급수는 무한 미분 가능한 함수 $f(x)$를 다항식으로 나타낼 수 있다.
테일러급수는 항의 차수가 증가할 수록 테일러 계수값이 급격히 0으로 수렴한다.
테일러급수는 항의 계수(테일러 계수)를 미분을 통해서 구한다.
이제는 실전이다. 위에서는 개념을 주로 설명했다면 이제는 주기가 $2\pi$인 구형파에 대해서 푸리에 급수를 구해보자. 그림 (2)에서 그림 (5) 참조.
먼저 점 x=0대해서 대칭이 아니다. 그러므로 기함수이다. 기함수는 $sin(x)$와 나타날 것이다. 그림 (3) 참조.
그러므로 $a_n$은 모두 0으로 보면 된다.
또한 $a_0$는 평균값이라고 했으므로 0이다.
그러므로 우리가 구할 것은 $b_n$만을 구하면 된다. 즉, 푸리에급수 계수 구하기 공식으로 $b_n$만을 구하면 된다.

여기서 구형함수는 주기의 반은 1이고 나머지 반주기에서는 -1이므로 나누어 계산해준다.

그런데, 위에서 n이 짝수이면, $sin(x)$를 주기의 배수 만큼 적분하는 것이므로 0, n이 홀수일 경우만 1이 되므로,

그러므로 푸리에급수의 정의식 (6)에 $b_n$을 대입해서 정리하면,

위에서 푸리에 계수를 보면, 고조파의 차수가 커질수록 주파수는 증가하고 테일러 계수는 $1/(2x-1)$의 그래프와 비슷하게 $x$가 0.5이상에서는 $x$가 커지면 테일러 계수의 값이 0에 수렴해 가는 것을 을 볼 수 있다. (단, 주의! 공비수열처럼 감소한다는 말은 아니다)

이제부터 매우 매우 중요한 부분이다.
위에서 수식 (6) 테일러급수의 정의부분을 보면 $cos(n w_0 t)$와 $sin(n w_0 t)$가 t의 함수이다.즉, 시간영역에서의 함수이다. (중심주파수라는 것을 강조하기 위해서 $w$ 대신에 $w_0$를 사용했다.)
이것을 벡터영역(주파수 영역)으로 가지고 오겠다. 어떻케 가지고 오냐면, 오일러공식을 사용하겠다는 말이다.
즉, 윗 수식 (6)에서 $cos(n w_0 t)$와 $sin(n w_0 t)$를 복소수 형태로 변환한다는 말이며 이는 복소수 영역에서 해석한다는 의미이다. (공학에서는 $i$ 보다 $j$를 선호해서 $j$를 사용했다.)
먼저, 오일러공식으로 아래 2개의 연립방정식을 만들 수 있다.

윗 두 연립방정식을 삼각함수 $cos(n w_0 t)$, $sin(n w_0 t)$을 미지수로 풀면,

이 된다. 이 값을 푸리에급수에 대입하면,

$e^{+njw_0t}$와 $e^{-jnw_0t}$항으로 묶으면 묶고 Sigma를 분리해 놓으면,

여기서,
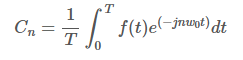
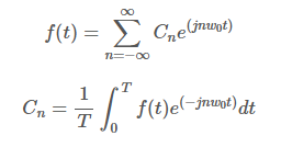
$$C_n=\frac{a_n – j b_n}{2}$$라 정의하면,

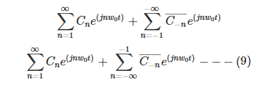
윗 수식의 맨 오른쪽 우측항에서 에서 $-n$을 $n$으로 놓으면, Sigma의 범위는 -1에서 음의 무한대까지 변경된다.

이 된다.
그러므로 수식 (8)은 아래와 같이 정리된다.


여기서 $C_0 = a_0$이다. 또한, $C_n = \overline{C_{-n}}$이므로 아래와 같이 쓸수 있다. (이것의 증명은 시간을 두고 진행해야 겠다. 본 문서의 끝에서 살펴볼 수 있을 것이다. 여러 블로그 자료들을 찾아보고 읽어도 이해가 잘 가지 않아서이다.)

바로 윗 수식이 시간함수를 복소수형태의 푸리에급수로 나타낸 수식이다.
여기서도 테일러급수의 테일러계수를 구하는 것이 중요했듯이 푸리에급수의 계수를 구해보자.
즉, 수식 (10)에서 $C_n$을 구하려고 하는 것이다.
먼저 양변에 $e^{-j m w_0 t}$를 곱해준다.

여기에 양변을 주기만큼 정적분하면

여기서 우변항의 적분항을 보면 m의 값에 따라 아래의 값이 나타난다.

위에서 곱해지는 $e^{(-j m w_0 t)}$의 지수는 $m=n$이므로,

그러므로 푸리에 계수($C_n$)은,

그러므로 푸리에 급수의 최종 복소수표현은,


이제 이것을 위에서 정의한 푸리에 급수와 비교해보자.
| 시간 영역 | 벡터영역(주파수영역) |
![]() | ![]() |
1. 일단 수식이 간결해졌으며 삼각함수가 사라졌음을 볼 수 있다. 또한, 복소형태를 가지게 되었다.
푸리에 급수를 구하기 위해 한 번은 $Cos$를 곱해서 내적해주고, 다른 한 번은 $Sin$항을 곱해서 내적해준것을 기억하는가?

그런데 복소수 형태에서는 아래와 같이,

곱해주는 값이 $$e^{(-j n w_0 t)}$$로 통일되었다. 그리고 n의 값이 음의 영역을 가지게 된 점이 큰 차이이다.
2. 복소형식을 가지면서 중심주파수($w_0$)가 명확하게 보인다. 그러면 푸리에급수의 각항은 중심주파수의 $w_0$의 배수배에 위치한 항들로 나열되게 된다. 그래서 이를 두고 주파수영역으로 이동되었다라고 말할 수 도 있으며 그렇게 말한다.
3. 복소형식에서 푸리에 계수는 각 고조파와의 내적 평균이다. 즉, 각 고조파와 원함수의 연관도를 명확히 나타내고 있다.
이상이 등비수열, 등비수열의 합, 테일러급수, 푸리에급수까지 알아보면서 나름대로 정리한 자료이다. 오타 및 틀린 내용에 대한 수정은 환영한다.
$C_n = \overline{C_{-n}}$ 증명하기
증명은 여기에 추가 됨.
2024.12.04일
윗 증명을 못해서 이를 기록해 놓음.

